Printable Ring Sizer | Ring Size Finder | Ring Size Measuring Tool | International Ring Size Chart| Measure Ring Sizer
Best Ring Size Tool at Inspire Uplift and BONUS International Ring Size Chart with various Countries!
The easiest way to find your ring size for fingers and toes.
Only two ways sizer at Inspire Uplift!
Printable Ring Sizer | Ring Size Finder | Ring Size Measuring Tool | International Ring Size Chart | Measure Ring Size |
Please make sure you print this template without any margins ( that means borderless printing) to get accurate results.
Paper size: US Letter. Dimensions: 11 x 8.5 inches.
Orientation: landscape, horizontal.
WHAT’S INSIDE:
* 1 x PDF Instructions and Ring Sizer CMYK Professional Printing (A4 Size)
* 1 x JPG Instructions and Ring Sizer (A4 Size)
* 1 x JPG Ring Sizer USage Explanation (A4 Size)
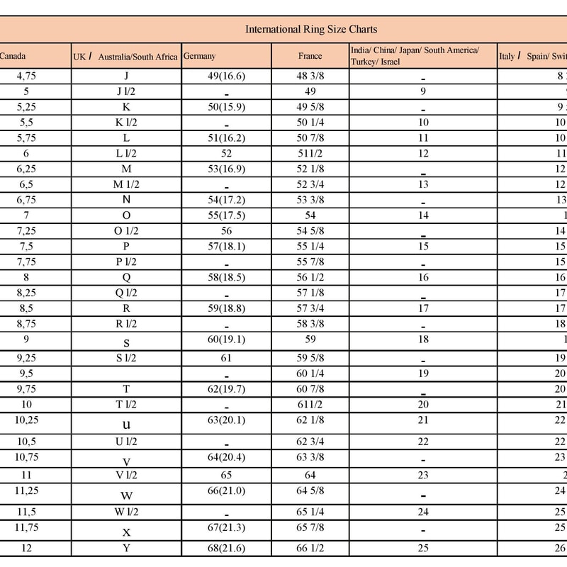
* 1 x PNG Ring Sizes Conversion Table (Universal) (A4 Size)
* 1 x PDF Ring Sizes Conversion Table (Universal) (A4 Size)
Printable Ring Sizer | Ring Size Finder | Ring Size Measuring Tool |International Ring Size Chart|Measure Toe Ring Sizer |Instant Download
Ring Size
Ring sizes in the U.S. range from 3 to 13.5 in adult sizes. Most women’s fingers fall between 3 and 9, while men are typically between 8 to 14. These sizes are determined by millimeters. One millimeter is equivalent to .039 inches. But the fact is, most people have no idea what their ring size is. You don’t have to go to a jewelry store and start trying stuff on to figure it out. It’s very easy to find out what your ring size is at home. So when you go to the local jeweler, you can start by looking for rings that are already in your size.
How Rings Should Fit
Before you try to figure out your size, make sure you know how your ring should fit. The ring should be tight enough that it won’t fall off your finger but loose enough that you can take it on and off over your knuckle. Keep in mind that fingers change circumference size, slightly, based on temperature. When you are in a colder environment, your fingers will get a little bit smaller. In the heat, they will be a little bit thicker.
Note: This is an instant download - there is no physical product. The files become available to download once the purchase is processed by Inspire Uplift.
RETURNS & EXCHANGES
Due to this item’s digital nature, it cannot be returned, exchanged, or refunded.
HOW TO ORDER
1. Add this listing to your cart.
2. After you complete the payment you will see the link for downloading the file. It will be available in your account's purchase area.
3. Download the file(s).
4. Open using the PDF viewer of your choice.
5. Fill it out using the PDF viewer or print it out.















